长江云省级融媒体平台
融合生产对接说明

项目简介
长江云省级融媒体平台实现了通过与电视/报纸生产系统对接,达成跨系统的稿件和素材资源互通,改变融媒体中心需多系统切换配合完成电视播出/报纸排版生产的现状,实现通过长江云省级融媒体平台实现策、采、编、审、播(排)、发的一体化业务流程整合。
省级平台融合优势
(1) 跨系统单点登录
满足通过省级平台免登录跳转至电视/报纸系统,绑定关联账号保证用户信息一致性;
(2) 统一策划指挥
满足通过省级平台统一进行选题策划,并指派相应任务(新媒体发布任务、电视制作任务、报纸生产任务),任务节点指向各渠道关键生产环节,实现各渠道生产流程的统一展示;

(3) 稿件资源互通
不同渠道(新媒体、电视、报纸)的记者稿件统一汇聚于省级平台,支持一键下发至电视/报纸系统进行后续成品制作;支持电视/报纸渠道成品内容(成品稿件、电视串联单、电子报版面)回传至省级平台,满足多渠道交叉引用;
(4) 素材资源互通
打通省级平台与电视系统之间的素材推送通道,实现素材资源共享;


融合大屏展示效果图
(1) 记者在省级平台撰写稿件,并推送至电视系统;
(2) 编辑在电视系统中选用稿件,完成稿件修改与审核,输出成品稿;
(3) 编辑针对成品稿指定对应的配音员;
(4) 配音员在非编系统中查询需要自己配音的稿件进行配音,输出音频文件入库存储;
(5) 记者在非编系统系统中调用配音文件制作节目(音画匹配),输出节目片段入库存储;
(6) 编辑调用记者完成的节目片段进行合成操作,将合成节目送审,输出成品节目入库存储;
(7) 编辑将成品节目文件打包下载到本地,拷贝至播出系统送播。

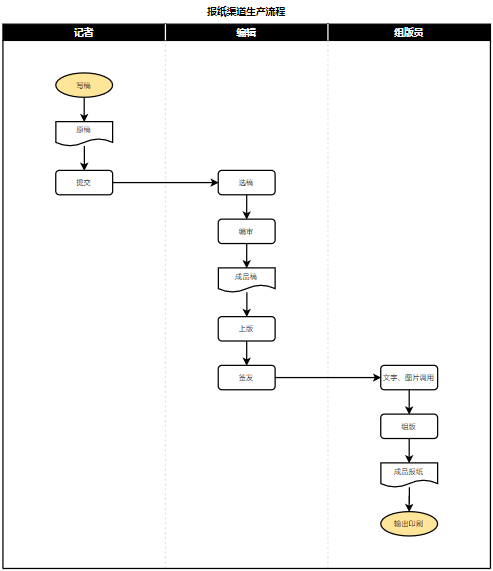
(1) 记者在省级平台撰写稿件;
(2) 编辑选用稿件推送至报纸系统;
(3) 编辑在报纸系统中完成稿件修改与审核,输出成品稿;
(4) 编辑选择成品稿进行上版(将稿件移动至对应的版面稿库);
(5) 编辑在版面稿库中对稿件进行签发(将稿件签发至组版系统);
(6) 组版员对签发过来的稿件进行组版,输出成品报纸。

如后续地方存在对接需求,请联系长江云平台事业部运营经理张帆:15827578042。
排版 | 李雪婷
